von housefreund » Di, 28.02.2012 16:20
Hallo,
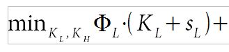
ich würde gerne das K_{L} und K_{H} direkt unter das "min" bekommen. Ich hatte es mal zwischenzeitlich geschafft, aber verworfen ohne abzuspeichern.
Ich schaffe es nicht zu rekonstruieren.
Hier mal, was ich bereits habe:
führt zu

- min-mit-Bezugsvariablen-neu.jpg (12.28 KiB) 7000 mal betrachtet
Leider funktioniert
Code: Alles auswählen
"min" from {K_{L}, K_{H}} to {} %PHI_{L} cdot (K_{L} + s_{L}) +
nicht.
Hallo,
ich würde gerne das K_{L} und K_{H} direkt unter das "min" bekommen. Ich hatte es mal zwischenzeitlich geschafft, aber verworfen ohne abzuspeichern.
Ich schaffe es nicht zu rekonstruieren.
Hier mal, was ich bereits habe:
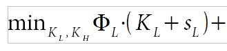
[code]"min"_{K_{L}, K_{H}} %PHI_{L} cdot (K_{L} + s_{L}) +[/code]
führt zu
[attachment=0]min-mit-Bezugsvariablen-neu.jpg[/attachment]
Leider funktioniert
[code]"min" from {K_{L}, K_{H}} to {} %PHI_{L} cdot (K_{L} + s_{L}) +[/code]nicht.