Bruch formatieren
Moderator: Moderatoren
Bruch formatieren
Hallo,
wenn ich einen Bruch mit {x} over {y} erstelle, und nun der Nenner halt sehr lang wird, rückt der Zähler nicht automatisch in die Mitte des Bruchstrichs. Wie kann ich das ändern? Danke!
Gruß.
wenn ich einen Bruch mit {x} over {y} erstelle, und nun der Nenner halt sehr lang wird, rückt der Zähler nicht automatisch in die Mitte des Bruchstrichs. Wie kann ich das ändern? Danke!
Gruß.
Re: Bruch formatieren
Hallo,
welche Ausrichtung hast du denn im Math - Editor eingestellt. Bei mir ist es zentriert, also sind auch Zähler und Nenner zentriert. Ansonsten bliebe die Frage, welche Version nutzt du unter welchem Betriebssystem.
Gruß
welche Ausrichtung hast du denn im Math - Editor eingestellt. Bei mir ist es zentriert, also sind auch Zähler und Nenner zentriert. Ansonsten bliebe die Frage, welche Version nutzt du unter welchem Betriebssystem.
Gruß
Re: Bruch formatieren
Mit alignc kannst in einem Bruch zielgenau den kürzen der beiden Terme – Zähler oder Nenner – gegenüber dem jeweils anderen Term zentrieren. Also etwa so:
Das geht zwar auch mit Format > Ausrichtung… > Zentriert, allerdings werden dann auch gleich alle Zeilen komplett zentriert.
Gruß
lorbass
Code: Alles auswählen
{ alignc a } over { b + c + d }Gruß
lorbass
Re: Bruch formatieren
alignc ist genau das, was ich gesucht habe, vielen Dank. Nun habe ich aber ein neues Problem.
Siehe Foto ... wie schaffe ich es, dass der linke Faktor mittig ist?
Siehe Foto ... wie schaffe ich es, dass der linke Faktor mittig ist?
- Dateianhänge
-
- Unbenannthui.JPG (15.43 KiB) 14203 mal betrachtet
Re: Bruch formatieren
Für dein akutes Problem habe ich leider keine Idee parat…
Gruß
lorbass
Gruß
lorbass
Re: Bruch formatieren
Schade ... trotzdem vielen Dank. Vll meldet sich ja noch jemand anderes zu Wort 
Re: Bruch formatieren
Hi, vielleicht hilft Dir das noch.
Eine Matrix mit jeweils einem dreiteiligen Stapel auf jeder Seite bringen die Formel in eine Mittelausrichtung.
Gruss RoBo
Eine Matrix mit jeweils einem dreiteiligen Stapel auf jeder Seite bringen die Formel in eine Mittelausrichtung.
Gruss RoBo
Code: Alles auswählen
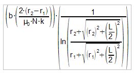
matrix {stack {{}#{left (b cdot left( {2 dot ("r"_2- "r"_1)} over{ %my_0 cdot "N" cdot "k"} right) right)}#{}} %% In den geschweiften Klammern {} zwischen den Rauten # ist jeweils ein Stapelelement
#{}cdot{}# %% Trennung der Matrix durch den Punkt
stack {{}#{left( 1 over {ln left({r_2+ sqrt (r_2)^2 + left (L over 2 right)^2} over {r_1 + sqrt (r_1)^2 + left (L over 2 right)^2} right )} right )}#{}}}OpenOffice 3.3. auf XP und Ubuntu
OpenOfficePortable 3.2. auf XP
OpenOfficePortable 3.2. auf XP
Re: Bruch formatieren
Respekt!
Als Sahnehäubchen hätte ich dann noch ein alingc vor der einsamen 1 im Zähler im Multiplikanden…
Gruß
lorbass
Als Sahnehäubchen hätte ich dann noch ein alingc vor der einsamen 1 im Zähler im Multiplikanden…
Gruß
lorbass
Re: Bruch formatieren
Hmm, bei mir war sie schon zentriert.
Das liegt wohl an der Voreinstellung, sonst aber volle Zustimmung.
Gruss RoBo
Das liegt wohl an der Voreinstellung, sonst aber volle Zustimmung.
Gruss RoBo