Interval angeben

Umfangreicher mathematischer Formeleditor

Moderator: Moderatoren

kinkilla
Beiträge: 3
Registriert: Di, 21.02.2012 11:17

Interval angeben

Beitrag von kinkilla »

Hallo Community,

ich muss für mein Spezialfrage in Mathe über Integrationsmethoden auch das Intervall beim einen bestimmten Integral angeben.
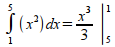
Der erste Teil: int from 1 to 5 (x^2)dx ist kein Problem aber wenn ich nun integriert habe möchte ich den Zwischenschritt machen und dort nun angeben: x^3 over 3 im Intervall von 1 bis 5. Doch ich habe keine Ahnung wie man dies eingeben muss.
Ich würde mich sehr über eine Antwort freuen.

MfG Kinkilla
Benutzeravatar
lorbass
********
Beiträge: 4116
Registriert: Mo, 01.05.2006 21:29
Wohnort: Bonn

Re: Interval angeben

Beitrag von lorbass »

So?
Integral.png
Integral.png (2.9 KiB) 6244 mal betrachtet

Code: Alles auswählen

int from 1 to 5 (x^2)dx = left none x^3 over 3 ~ right lline ^{size 10 `1}_{size 10 `5}
Gruß
lorbass
kinkilla
Beiträge: 3
Registriert: Di, 21.02.2012 11:17

Re: Interval angeben

Beitrag von kinkilla »

Ja genau so wollte ich es haben.
Danke dir.
MfG Kinkilla
Antworten